随着国家《水污染防治计划》的发布,对火电厂的用水和排水均提出了更高的要求,火电厂污水零排放系统建设也逐渐成为火电厂污水治理的发展趋势。所谓严格意义的污水零排放,主要是采取措施不向外界排出对环境有任何不良影响的水,进入电厂的水最终以蒸汽的形式进入大气,或是以污泥等适当的形式封闭、填埋处置。本文针对不同类型火电厂污水零排放技术路线进行比较分析,同时对技术路线制定和实施的影响因素进行了分析,并提出了相关建议。
火电厂污水零排放的不同阶段作为用水大户的火电厂,实现污水零排放应经过4个阶段:
(1)用水流程优化配置;
(2)减少各用水系统外排水量,对于湿冷机组主要为减少循环水外排水量;
(3)污水处理回用;
(4)末端污水处置。
其中前3个阶段可称为深度节水阶段,火电厂污水零排放不同阶段的投资及运行费用对比如表1所示。

由表1可见,火电厂污水零排放不是通过简单一种技术或工艺就可以实现,而应该是多种技术工艺的组合.且其实现应该根据各厂的
具体情况分步骤实施。随着污水零排放工作的逐步进行,其投资和运行费用越来越高,但节水效果却越来越小。由于严格意义的污水零排放实施难度大、成本高,目前国内只有极少数电厂建设了严格意义上的全厂污水零排放系统。
2空冷电厂深度节水技术路线
2.1技术路线介绍
由于没有循环冷却水系统,与同容量的湿冷机组相比,不同等级单机容量的空冷机组节水率在65%~90%。对于空冷电厂来说,整体节水的空间较小,其建设污水零排放系统的主要工作为全厂污水的分类分级回收利用和全厂末端高浓度污水的最终处置。
北方某空冷电厂(以下简称电厂A)采用循环流化床锅炉,灰渣系统为干除灰干除渣。全厂产生的污水主要包括辅机循环水排污水、化学车间排水(超滤反洗水、反渗透浓水、离子交换再生污水)、预处理系统滤池反洗水、机炉杂排水及其他疏水等。由于各类污水的水量较小,电厂A将以上污水收集后进行统一处理,其工艺流程如图1所示。

电厂A深度节水项目于2010年投运后,反渗透系统出水水质满足设计要求,但由于石灰软化系统设计和澄清池选型不当,石灰处理效果差,影响了后续离子交换设备的再生周期,从而使得系统整体自用水率高于设计值,外排污水量较大。另外,为保证系统脱盐率,反渗透进水pH值控制值较低,反渗透有机物和硅垢的污堵风险高,清洗周期较短。
2.2存在问题
综合考虑电厂A的深度节水路线,主要存在以下问题。
(1)电厂A所产生的污水中辅机循环排污水和反渗透浓水属于高盐污水,其余如超滤反洗水、滤池反洗水、机炉杂排水和其他疏水均属于低盐污水。离子交换系统产生的污水根据再生的过程可分为再生置换阶段的高盐污水和反洗正洗阶段的低盐污水,其中低盐污水量占总污水量的70%以上。上述低盐污水的主要污染物为悬浮物,其余水质指标均优于或等同于原水水质,该部分污水可收集后直接返回预处理系统入口。若将高盐污水与低盐污水混合后再进行脱盐,便增大了后续脱盐处理系统的建设容量和设备运行压力。
(2)电厂A深度节水工艺中设置了钠床和弱酸离子交换设备,交换器在再生过程中均会由再生液引入新的离子,而该部分离子均会进入到最终全厂的末端污水。目前电厂A将末端污水作为灰库拌湿和灰场抑尘用水,但这种利用方式受到干灰外售的影响,同时也不符合严格意义污水零排放的要求。如果要对末端污水进行固化处置,必然会大大增加末端污水的处置成本。
3湿冷电厂深度节水技术路线
3.1工艺介绍
某湿冷火电厂(以下简称电厂B)装机容量2x1000MW,其锅炉补给水水源由循环水排污水供给,脱硫工艺水由循环水排污水和处理后的工业污水供给,化学再生酸碱污水供捞渣和输煤系统使用。在电厂B的深度节水工作中,其主要重点在于循环水除供脱硫、化学等使用后仍有约220m3/h无法消化,需要进行处理后将淡水回用至循环水系统,通过提高循环水补水水质来提高浓缩倍率,从而降低循环水排污量和补水量。电厂B循环排污水处理工艺流程如图2所示。

循环水排污水通过预处理系统去除大部分暂硬、部分有机物和硅后进入超滤、低压反渗透双膜处理系统。低压反渗透系统的产水进入循环水系统,浓水进入高压反渗透系统进一步脱盐,最终浓水送至脱硫污水处理系统的浓缩单元。
3.2存在问题
电厂B深度节水方案采用了低压与高压反渗透相结合的工艺,提高了系统的整体回收率,降低了后续高盐污水处置成本,但仍存在以下问题。
(1)由于循环水中含有大量的阻垢分散剂,混凝过程中需要投加大量的凝聚剂,整体运行费用较高,环保性较差。
(2)循环水经浓缩所增加的硬度值中,永硬比例一般在80%以上,而石灰处理主要去除暂硬,对总硬的去除效果较差.从而造成后续低压反渗
透系统回收率较低,高压反渗透系统总体建设规模较大。
(3)在没有设置永硬去除工艺的情况下,低压反渗透系统的浓水直接进入高压反渗透系统后,高压反渗透浓水侧硫酸钙的饱和度达到400%以上,虽然运行过程中投加阻垢剂,但系统仍存在较大的结垢风险。
4末端污水固化处置技术路线
经过用水和排水规划及梯级回用实现深度节水后,火电厂最终产生的无法消耗的末端污水主要包括离子交换再生系统所排高盐污水和经过处理后满足达标排放要求的脱硫污水。由于全厂所有用水中的盐分全部通过各种形式进入该部分污水,其主要水质特点为含盐量高且属于硫酸钙的饱和溶液,结垢倾向大,腐蚀性强。目前对该部分污水主要有5种处置方式:
(1)直接蒸发结晶固化处理;
(2)浓缩后再进行蒸发结晶固化;
(3)喷入除尘器前的烟道进行蒸发;
(4)污水经调质后在烟道外利用烟气余热进行蒸发;
(5)机械雾化蒸发。
这5种污水处置方式均可实现火电厂末端污水严格意义的污水零排放,各种工艺的比较如表2所示。

由表2可见,前4种污水处置方式均需要对污水进行深度软化预处理,减少污水中结垢性离子含量,以降低后续处置设备结垢风险。深度软化一般可采用NaOH+Na2C03联合软化工艺。第2种和第4种方式在深度软化的基础上还需要进行浓缩。研究表明,针对典型的脱硫污水,微滤加反渗透的浓缩工艺可在回收率大于60%的工况下稳定运行。
第1种和第2种方式采用蒸发结晶作为污水固化工艺,投资和长期运行费用较大,但可以回收部分冷凝水。第2种方式污水经过浓缩可大大降低蒸发结晶系统的投资费用。
第3种和第4种方式充分利用了烟气余热,第3种污水直接喷入烟道的固化方式有少量实际工程应用,但仍存在烟温、烟道长度等多种影响蒸发过程的因素需要进一步研究核实,同时还会存在除尘器效率降低、电除尘系统腐蚀和盐分在烟道沉降聚集等风险。第4种污水调质后体外烟气蒸发工艺既利用了部分烟气余热,同时又不会对主烟气系统造成影响,但该方式产生的结晶盐全部进入飞灰,是否会对飞灰的性能和对外销售造成影响需要进一步研究。
第5种机械雾化方式投资小,便于建设与操作,但该工艺受气象和环境因素影响较大,且占地面积大,不可控程度较高,雾化污水喷入空气中易造成二次污染。
5污水零排放改造需考虑的因素
火电厂的用水排水系统贯穿全厂生产的大部分环节,因此在制定污水零排放改造技术路线时还应该考虑以下相关因素。
5.1超低排放改造
根据国家相关规定,燃煤机组要在2020年以前全面完成超低排放改造。具体措施包括:
(1)低氮燃烧器改造或烟气脱硝增加催化剂层;
(2)脱硫单塔双循环或双塔双循环改造;
(3)低温电除尘或湿式电除尘改造。其中脱硫增容改造和湿式电除尘器的安装会增加污水量,脱硝增容和低氮燃烧器改造不会增加污水量。当进入脱硫塔入口烟温降低后,机组湿法脱硫用水量将减少35%~40%,因此原本通过脱硫系统蒸发携带的部分污水无法直接消耗,打破了全厂原有的污水零排放体系。对于空冷和直流冷却机组,可通过减少工业水补水量来实现新的水量平衡;对于湿冷机组,则需要对多余的污水进行脱盐或者通过提高循环水浓缩倍率的方式来实现新的平衡。
5.2脱硫工艺水水质及脱硫污水水量
在火电厂污水零排放改造方案实施过程中,通常要改变湿法脱硫工艺水用水水源,而脱硫工艺水主要作为除雾器冲洗水使用。一般认为冲洗水的硫酸钙饱和度低于50%时可防止除雾器表面的结垢。如果污水零排放设计方案中的脱硫工艺水的硫酸钙饱和度不能满足这一要求,则需要在工艺水的前处理工艺中增加降低钙离子和硫酸根含量的相关措施。
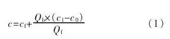
在保持脱硫污水水量不变的工况下,脱硫工艺水源改变后脱硫污水氯离子浓度可由下式进行估算。

式中:。为水源更换后吸收塔浆液氯离子质量浓度,mg/L;cf为水源更换前吸收塔浆液氯离子质量浓度,mg/L;Qb为吸收塔补水量,m3/h;c1为水源更换后工艺水氯离子质量浓度,mg/L;c0为水源更换前工艺水氯离子质量浓度,mg/L;Qf为脱硫污水量,m3/h
根据计算结果,如水源更换后污水氯离子浓度超出设计导则要求,则需要通过增加污水的排放量来降低吸收塔浆液的氯离子浓度。因此,若脱硫工艺水源水质变化(主要考虑氯离子),脱硫污水水质或水量也会发生变化。
5.3循环水系统的腐蚀与结垢
对于通过提高循环水浓缩倍率或者极限含盐量来减少循环水排放量的污水零排放系统,改造后循环水系统的钙离子、硫酸根、氯离子等离子的浓度均相应增加,此时应通过经验或试验数据判断循环水是否存在腐蚀或结垢风险,并将其作为制定污水零排放方案的相关依据。需要注意的是,此处的腐蚀不仅需考虑换热设备的腐蚀状况,同时要考虑氯离子和硫酸根对钢筋混凝土构筑物的腐蚀,以便采取必要的措施。
6技术路线制定相关建议
综上,火电厂制定污水零排放技术路线时应关注以下几个方面。
(1)综合考虑全厂各相关专业的情况,总体规划,分步实施,尤其应重视深度节水阶段的改造工作。深度节水阶段的节水改造投资低,效益大,可为后续污水零排放系统建设打下良好基础。
(2)对于湿冷型火电厂,传统观念认为循环水系统设计中浓缩倍率控制在3~5较为经济,浓缩倍率再提高对节水能力贡献有限。但随着污水零排放要求的逐步实施,由于后续末端污水处置成本高昂,如果可以通过进一步提高浓缩倍率以使循环水系统排污量与下游污水消耗量直接匹配,则循环水系统不向外排放污水,即可以大大降低污水零排放建设成本,这一点对于原水水质较好的电厂尤为重要。如广东某电厂原水盐分质量浓度仅为75.9mg/L,通过合理药剂选择,该厂将循环水浓缩倍率直接提升至10.5,实现了排污水量与下游脱硫用水水量相匹配。
(3)火电厂进行节能改造后进入脱硫塔的烟温降低,造成烟气蒸发水量减少,但部分电厂由于要保证除雾器冲洗水量,脱硫塔仍大量补水,从而造成脱硫污水量增加,最终增加末端污水处置的成本。因此,火电厂在进行节能改造方案制定时的经济性分析也应充分考虑由于末端污水增加而增加的建设成本和运行费用,从而对节能改造方案的经济性做出准确评估。
(4)随着机组负荷的变化,火电厂的水平衡是动态的而不是静止的,因此污水零排放方案也应充分考虑机组在不同负荷条件下的工况,同时在污水零排放水平衡体系设计中需考虑充分的余量,以确保污水零排放目标的实现。
7结语
水系统贯穿火电厂生产过程始终,因此火电厂污水零排放是一项系统工程。本文研究结果表明.对于火电厂零排放技术路线.应充分考虑电厂自身机组类型、水源水质、冷却型式等特点及其影响,并结合全厂各专业实际用排水状况予以制定。同时,由于深度节水的结果对末端污水固化的工艺选择及投资和运行成本影响极大,火电厂零排放宜根据具体情况分段实施,以保证各阶段治理效果,避免重复投资。
济南德彩网科技有限公司,山东污水处理公司,山东化工污水处理公司,高浓度有机废水处理,山东厌氧罐公司 备案号:鲁ICP备12011643号-3 技术支持:德彩网公司